Слева - Донецк. Справа - Киев.
Эти города НИКОГДА больше не будут в одной стране.



ГНЕЗДО ПЕРЕСМЕШНИКА |
Привет, Гость! Войдите или зарегистрируйтесь.
Вы здесь » ГНЕЗДО ПЕРЕСМЕШНИКА » Россия, Украина и мир: политика и аналитика. Архив » Россия, Украина и мир: политика и аналитика 164 +18
Слева - Донецк. Справа - Киев.
Эти города НИКОГДА больше не будут в одной стране.

Москва. Через 10 лет после страшной войны. "Серая тоскливая жизнь, одинаковая серая одежда, печальные лица забитых людей".
Тоталитарное государство, одним словом...

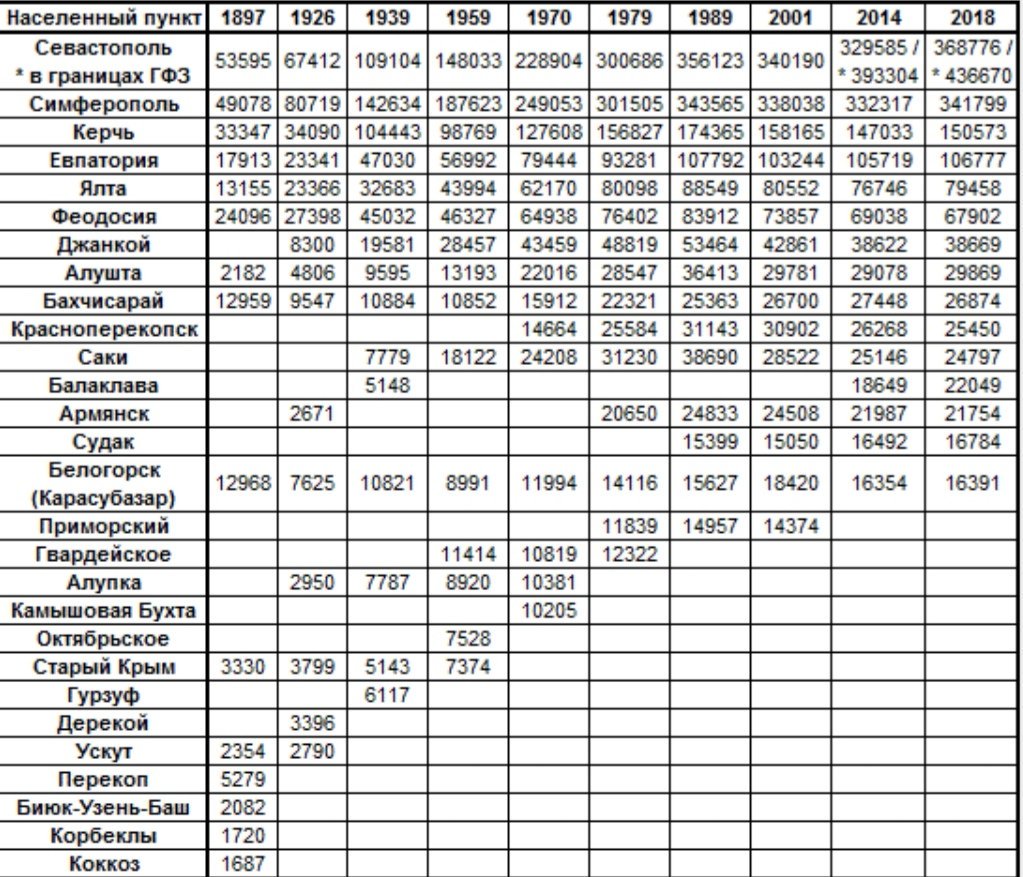
Динамика численности крупнейших населенных пунктов Крыма, 1897-2018. Севастополь в 1991-2014 при шумерах активно вымирал, но за четыре года в составе России уже превысил пиковые советские показатели...

Макрон пришёл в школу к детям в пригороде Парижа. И, кажется, там уже внедрен наш агент

Уругвайская разведка
Кличко тоже приперся на похороны упыря Маккейна. "Большой друг укры" ведь был.
А что он реально для нее сделал?
Дал денег? Нет, вогнал в долги.
Улучшил жизнь? Нет, люди разбегаются.
Принес мир? Нет, только войну и разрушения.
Он - враг укры, друг лишь для её грабящей кодлы...

Хороший ролик
Вот она - истинная причина недавней истерики Батьки, со швырянием бумаг со стола (по рассказам очевидцев), с отставкой правительства, с всхлипываниями про то"что нас нагибают, но не согнут" и воплями "что Россия наше пальмовое молоко отказУется куплять".
Минэнерго сочло нецелесообразной поставку нефтепродуктов Белоруссии
Москва не считает экономически целесообразной поставку российских нефтепродуктов в Белоруссию, заявил министр энергетики Александр Новак.
«В целом предусмотрены индикативным балансом нулевые цифры по поставкам нефтепродуктов из России в Белоруссию, потому что Белоруссия обеспечивает себя полностью за счет переработки российской нефти собственными нефтепродуктами», – заявил Новак.
По его словам, экономической целесообразности в поставке российских нефтепродуктов Белоруссии нет, передает ТАСС.
На прошлой неделе СМИ сообщали, что Россия намерена ограничить с четвертого квартала беспошлинные поставки нефтепродуктов и сжиженного газа в Белоруссию. Однако Новак говорил, что Москва обеспечит поставки нефти Белоруссии до конца года в соответствии с ранее достигнутым соглашением.
Смолов оплатил годовую аренду квартиры в Москве для онкобольных детей
Нападающий «Локомотива» Федор Смолов ведет благотворительную деятельность.
Форвард сборной России оплатил годовую аренду квартиры для тяжелобольных детей, подопечных фонда «Спаси Жизнь».
Между футболистом и фондом заключено годовое соглашение погашения аренды одной из квартир программы «Добрый Дом», расположенной неподалеку от Российского онкологического научного центра им. Н.Н. Блохина.
В квартире проживают дети с тяжелыми формами онкологических заболеваний из Астрахани, Ульяновска, Удмуртии и Краснодара.
В рамках программы «Добрый Дом», благотворительный фонд помощи детям и их семьям «Спаси Жизнь» арендует в столице жилье, для семей с тяжелобольными детьми, находящимися на амбулаторном лечении в московских клиниках. Программа реализует жилищную поддержку для жителей России, столкнувшихся с необходимостью долгое время жить и лечиться в Москве.
Российские добровольцы готовы снова отправиться на Донбасс
Ветераны боевых действий в Донбассе из Российской Федерации готовы отправиться в ЛДНР, чтобы помочь республикам выстоять. Об этом журналистам рассказал Михаил Полынков, координатор проекта «Доброволец.орг», занимающегося отправкой добровольцев в Донбасс.
По его словам, убийство лидера ДНР Александра Захарченко не повлияет на обороноспособность республики, а также отметил, что «советники из России не дадут системе развалиться».
«Думаю, что украинцы воспримут это как сигнал к атаке. И так думаю не только я: ветераны боевых действий уже оборвали мне телефон, ожидая сигнала на выдвижение. Позвонило человек десять, они все сидят на рюкзаках», — приводит слова Полынкова «ПолитНавигатор».
Еще в марте текущего года, в ходе проходившего в Подмосковье сбора региональных командиров Союза добровольцев Донбасса было заявлено, что военное решение затянувшегося уже на четыре года конфликта на Украине становится основным.
Вы здесь » ГНЕЗДО ПЕРЕСМЕШНИКА » Россия, Украина и мир: политика и аналитика. Архив » Россия, Украина и мир: политика и аналитика 164 +18